Back to Algorithm "Graph-Based Segmentation" page.

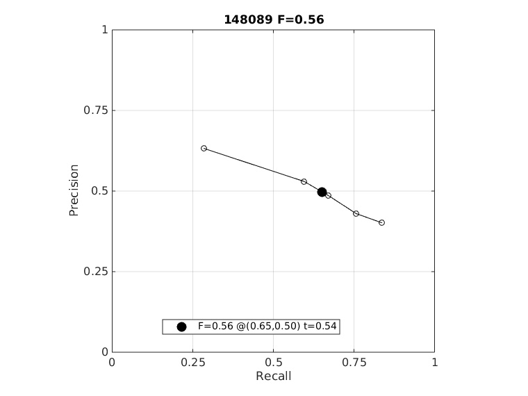
[Color] Boundary Detection Benchmark: Algorithm "Graph-Based Segmentation" Image #50 (148089)

> >
Machine
Human

Page generated on 13-Dec-2015 16:58:15.