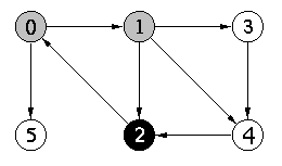
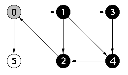
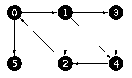
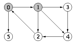
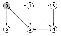
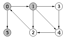
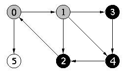
BFS(G, s)
Input: G, a graph; s, the source vertex from which to begin BFS
Purpose: visits all vertices of G reachable from s
for each vertex v in Vertices(G)
color[v] = white
color[s] = gray
enqueue s into Q
while Q is not empty
v = Q.peek()
for each u adjacent to v
if color[u] = white // Found a new node
color[u] = gray // Mark it as discovered
enqueue u into Q // Enqueue for later exploration
dequeue from Q
color[v] = black // Mark v as fully explored
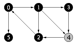
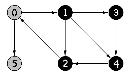
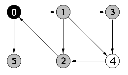
DFS(G, s)
Input: A graph, G; a source vertex s
Purpose: visits all vertices of G reachable from s
for each vertex v in Vertices(G)
color[v] = white
DFS_Visit(s)
DFS_Visit(v)
color[v] = gray // Mark v as discovered
for each u adjacent to v
if color[u] == white
DFS_Visit(u) // Found a new node; explore it
color[v] = black // Mark v as fully explored
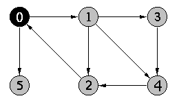
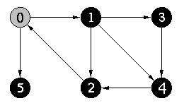
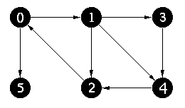
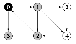
DFS(G, s)
Input: A Graph, G; a source node s
Purpose: visits all nodes of G reachable from s
time = 0
for each vertex v in Vertices(G)
color[v] = white
for each vertex v in Vertices(G)
if color[v] == white
DFS_Visit(v)
DFS_Visit(v)
color[v] = gray // Mark v as discovered
time = time + 1
d[v] = time
for each u adjacent to v
if color[u] == white
DFS_Visit(u) // Found a new node; explore it
color[v] = black // Mark v as fully explored
time = time + 1
f[v] = time


